Palette - Palette_estese
Palette Estese
Vai ai contenuti
Menu principale:
×
Home Page
File bmp
Palette
Conclusioni
Palette
Ora entriamo nel merito delle palette estese, prendiamo in considerazione un file bmp,
per una migliore
comprensione, anche se sarebbe meglio usare un file pgm.
I file bmp, come abbiamo già visto, sono scritti su disco come sotto.
Supponiamo di fare un foto con una macchina fotografica, e registriamo la foto in formato bmp 8 bit,
otteniamo
una scrittura su disco come sopra. In una foto sul visivo ci sarà sicuramente un puntino nero,
che verrà
codificato
nel descrittore come uno zero, e un puntino bianco, che verrà codificato
nel descrittore
come 255.
In una foto sul visivo tutti i puntatori partiranno dallo zero fino ad arrivare a 255. Con una foto
sul visivo non è
possibile fare nessuna estensione. Ora prendiamo in considerazione un file all' infrarosso e
lo scriviamo su
disco come il precedente, si ottiene come sotto.
Possiamo vedere che è uguale al precedente, con una differenza, i puntatori non vanno da 0 a 255 ma da un
minimo
ad un massimo, per cui si deduce che i byte del descrittore va da un minimo Pmin ad un massimo Pmax.
Mancano totalmente i puntatori da zero a Pmin e da Pmax a 255, senza contare i vuoti all' interno di Pmin a
Pmax.
La differenza dal visibile è notevole, per cui si può applicare le palette estese.
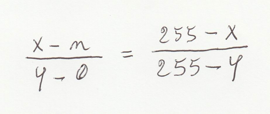
Le palette estese sono un allargamento del campo da Pmin a Pmax, facendo coincidere sempre con una formula
matematica, Pmin con lo zero e Pmax con 255. Questo comportamento può esse paragonato a un contrasto,
e lo è se l' intervallo Pmin - Pmax è perfettamente al centro.
Ma con i file all' infrarosso questo non avviene quasi mai, per cui non è possibile usare il contrasto.
Le palette estese si possono definire come "Il contrasto perfetto".
Il contrasto di una immagine lo si può ottenere dal monitor, ma anche col file se questo lo permette.
Il contrasto essendo un allargamento dal centro, non sempre è possibile e non conveniente perchè se non è
accurato
esso andrebbe fuori dall' intervallo 0-255. Vedi sotto.
Le palette estese danno sempre l' intervallo 0-255 qualsiasi sia Pmin e Pmax (foto sotto).
Le palette estese si allargano sempre nell' intervallo 0-255 e mai all' esterno, il che non sarebbe possibile.
Se si va fuori dall' intervallo sinceramente non saprei che colore sarebbero anche in monocromatico.
Dopo l' estensione i byte del descrittore andrebbero da zero a 255, e non sarebbe più possibile estenderli.
L' estensione è variabile da file a file, per fare un esempio, da un file diurno da un file notturno.
Di notte l' estensione è maggiore perchè cè meno calore e l' intervallo Pmin-Pmax è minore.
Un' altra considerazione delle palette estese è che rimane invariata la temperatura se questa è
riferita alle
palette. Infatti basta aggiungere al file Pmin e Pmax per poter sincronizzare
le palette con la temperatura nella nuova situazione, potendo così rimanere invariato qualsiasi calcolo
matematico che su esse si desidera fare.
Un' altra considerazione da fare è se noi contiamo le palette da Pmin a Pmax, il numero rimane invariato,
solamente le palette mancanti esterni a Pmin a Pmax si ritrovano all'interno.
Infatti le palette non si possono inventare, sarebbe un' altra immagine non originale.
Essendo il descrittore di un file bmp identico ad un file pgm, tutte le considezioni fatte per un file
bmp
valgono anche per un file pgm, perchè l' estensione dovrebbe essere fatta con un file pgm e non con
un file bmp.
Home Page
conclusioni
Home Page
|
File bmp
|
Palette
|
Conclusioni
|
Mappa generale del sito
di Ambrosini Cesare
Torna ai contenuti
|
Torna al menu
Per poter utilizzare questo sito è necessario attivare JavaScript.